Dr. Δημήτρης Τσουκαλάς, MD
Διδάκτωρ Πανεπιστημίου Universita' degli Studi di Napoli, Federico II
Πρόεδρος του European Institute of Nutritional Medicine, E.I.Nu.M
Πριν από μερικούς μήνες η πόλη της Νέας Υόρκης ξεκίνησε εκστρατεία για τη μείωση της κατανάλωσης αλατιού. Λίγες ημέρες αργότερα ακολούθησε και ο Δήμαρχος του Σαν Φρανσίσκο.
Στόχος είναι η μείωση της κατανάλωσης του αλατιού κατά 20% στα επόμενα 5 χρόνια. Η υπηρεσία υγείας της πόλης της Νέας Υόρκης αναφέρει ότι το 80% του αλατιού έχει προσεθεί στις τροφές μας πριν τις αγοράσουμε.
Το αλάτι είναι άμεσα συνδεδεμένο με το Νο 1 παράγοντα κινδύνου στις ανεπτυγμένες χώρες, την υπέρταση.[ Πηγή: Παγκόσμιος Οργανιμός Υγείας 2002 ] Η υπέρταση είναι κύρια αιτία καρδιακών νοσημάτων και εγκεφαλικών επισοδείων.
Στις 20 Ιανουαρίου 2010 το πιο έγκυρο ιατρικό περιοδικο παγκοσμίως, το New England Journal of Medicine, δημοσίευσε μελέτη σύμφωνα με την οποία η μείωση της κατανάλωσης του αλατιού στα 3 γρ. ημερησίως θα μείωνε -μόνο στις ΗΠΑ- τους θανάτους από καρδιαγγειακά και άλλα νοσήματα κατά 238.000 ετησίως!

Παρά όμως τις προσπάθειες για την ευαισθητοποίηση του κοινού τα αποτελέσματα είναι αποκαρδιωτικά. Η μέση κατανάλωση αλατιού αυξάνει σταθερά από τη δεκαετία του ’80 μέχρι σήμερα. Έχει αποδειχτεί πέρα από κάθε αμφιβολία ότι σύστασεις για μείωση της κατανάλωσης αλατιού δεν έχουν επιφέρει σχεδόν κανένα αποτέλεσμα στις συνήθειες του κοινού. Τι ακριβώς συμβαίνει;
Ποιός είναι ο πραγματικός ένοχος
Στην πραγματικότητα είναι ανακριβές να κατηγορούμε το αλάτι. Ο πραγματικός υπαίτιος για τα προβλήματα υγείας είναι το νάτριο που περιέχεται στο αλάτι. Το νάτριο αποτελεί το 40% του εμπορικού ραφιναρισμένου αλατιού, σε μορφή χλωριούχου νατρίου (NaCl). Στη φύση το θαλασσινό αλάτι περιέχει νάτριο και 91 διαφορετικά μεταλλικά στοιχεία σε ιδανική αναλογία. Έτσι αποτελεί σημαντική πηγή για τα απαραίτητα μέταλλα και ιχνοστοιχεία που χρειάζεται το σώμα μας για να λειτουργήσει σωστά.
Ποιά είναι όμως η ασφαλής ημερήσια δόση νατρίου;
Σύμφωνα με μια βασική βιολογική αρχή υπάρχει ένα υγιές φυσιολογικό εύρος κατανάλωσης για όλα τα θρεπτικά συστατικά. Το νάτριο δεν αποτελεί εξαίρεση. Ενώ είναι βασικό συστατικό για τη λειτουργία των κυττάρων, όταν ξεπεράσουμε μια ποσότητα τότε επιδρά αρνητικά στην υγεία μας.
Η Φυσική Δίαιτα του Ανθρώπου
Υπάρχει πληθώρα στοιχείων που επιβεβαιώνουν ότι η βέλτιστη διατροφική βάση για καλή υγεία παρέχεται από μια δίαιτα που είναι σύμφωνη με το γενετικό μας πρόγραμματισμό. Σύμφωνα με τους Eaton και Konner, υπάρχει ιδανική διατροφική σύνθεση για κάθε ζωικό είδος για την οποία αυτό έχει γενετικά προγραμματιστεί να τρώει και να μεταβολίζει.
Το λιοντάρι για παράδειγμα είναι γενετικά προγραμματισμένο να τρώει κρέας, ενώ η αντιλόπη φυτά. Ο ανθρώπος είναι γενετικά προγραμματισμένος να τρώει και κρέας και φυτά. Ο γενετικός μας προγραμματισμός, που έχει παραμείνει κατά βάση ο ίδιος τα τελευταία 100.000 χρόνια, είναι συμβατός με μη επεξεργασμένες τροφές στη φυσική τους μορφή.

Σύμφωνα με αυτή την υπόθεση η επεξεργασία, η αφαίρεση ή ο εμπλουτισμός θρεπτικών συστατικών διαφορετικών από τη φυσική σύνθεση των τροφών οδηγεί στην ανάπτυξη παθολογικών καταστάσεων.
Μια διατροφή που αποτελείται από φυσικές μη επεξεργασμένες τροφές περιέχει περί τα 0,6 γρ. νατρίου και δεν μπορεί σε καμία περίπτωση να ξεπεράσει τα 1,2 γρ. την ημέρα. Αυτό αντιστοιχεί σε 1,2 – 3 γρ. αλατιού. Μελέτες που αφορούν τη βιοχημική ισορροπία του νατρίου στο ανθρώπινο σώμα συμφωνούν με τα παραπάνω.
Αυτό που συμβαίνει σήμερα είναι το εξής: επεξεργαζόμαστε το αλάτι, αφαιρούμε τα μεταλλικά στοιχεία και στη συνέχεια το προσθέτουμε σε αυτή τη μορφή στις τροφές πριν τις καταναλώσουμε. Το τελικό αποτέλεσμα είναι να πολλαπλασιαστεί η ποσότητα νατρίου που καταναλώνουμε και να αλλοιωθεί η φυσική περιεκτικότητα των τροφών σε μεταλλικά στοιχεία.
Στο διάγραμμα βλέπετε τη διαφορά σε βασικά μεταλλικά στοιχεία μεταξύ της φυσικής δίαιτας (λευκό) και της σύγχρονης δίαιτα (μαύρο). [Πηγή: Progress in Cardiovascular Diseases 2006; 49:59-75]
Η μέση κατανάλωση νατρίου στις ανεπτυγμένες χώρες βρίσκεται μεταξύ 3 και 4,5 γρ. την ημέρα. Αυτό αντιστοιχεί σε 8 – 12 γρ. αλατιού την ημέρα και είναι 5 περίπου φορές πάνω από το φυσιολογικό.

Η αύξηση της κατανάλωσης νατρίου αυξάνει άμεσα το αίσθημα της δίψας και την κατανάλωση υγρών. Ο σύγχρονος όμως άνθρωπος όταν διψάει δεν πίνει απλά νερό. Συχνά τρώει περισσότερο, και τα υγρά που πίνει είναι αναψυκτικά, χυμοί και αλκοόλ. Η κατανάλωση αναψυκτικών είναι ανάλογη προς την κατανάλωση αλατίου. Βλ. Εικόνα [Πηγή: Progress in Cardiovascular Diseases 2006; 49:59-75]. Αποτέλεσμα είναι να έχουμε παράλληλη αύξηση της παχυσαρκίας, ιδιαίτερα της παιδικής ηλικίας. [American Heart Association 2008].
Σε τι βαθμό επηρεάζει το αλάτι την υγεία μας;
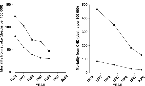
Τι θα λέγατε αν σε κάποια χώρα μειωνόνταν οι θάνατοι από καρδιαγγειακά νοσήματα κατά 75%;(!) Δεν θα ήταν μια σημαντική είδηση; Ακούγεται υπερβολικό. Η πραγματικότητα είναι όμως είναι ότι αυτό συνέβει και μάλιστα σε χώρα της Ευρωπαϊκής Ένωσης, τη Φιλανδία.

Από τη δεκαετία του ’70 οι Φιλανδοί ξεκίνησαν μια προσπάθεια μείωσης της κατανάλωσης του αλατιού. Δεν περιορίστηκαν όμως στις συστάσεις. Ολόκληρη η χώρα, οι πολίτες αλλά και η βιομηχανία τροφίμων, άλλαξαν το κοινό αλάτι με αλάτι που έχει χαμηλή περιεκτικότητα σε νάτριο ενώ παράλληλα είναι εμπλουτισμένο σε κάλιο, μαγνήσιο και το βασικό αμινοξύ λυσίνη (PANSALT). Η χρήση αυτού του αλατιού αποκαθιστά τη φυσική ισορροπία των βασικών μεταλλικών στοιχείων. Στα επόμενα χρόνια ακολούθησε μείωση της αρτηριακής πίεσης κατά μέσο όρο 10mmHg.
Η θνησιμότητα σε ηλικίες κάτω των 65 ετών κατά τα τελευταία 30 χρόνια μειώθηκε κατά 75%, ενώ το προσδόκιμο επιβίωσης αυξήθηκε κατά 6-7 χρόνια! Βλ. εικόνα [Πηγή: Progress in Cardiovascular Diseases 2006; 49:59-75]. Είναι αξιοσημείωτο ότι τα παραπάνω συνέβησαν ενώ οι Φιλανδοί στο ίδιο χρονικό διάστημα, αύξησαν την κατανάλωση αλκοόλ και τσιγάρων!
Τι μπορούμε να κάνουμε εμείς μέχρι κάτι παρόμοιο να συμβεί και στη χώρα μας;
Θα πρέπει να αυξήσουμε τη κατανάλωση μη επεξεργασμένων τροφών. Όσο μικρότερη επεξεργασία έχουν υποστεί οι τροφές μας μέχρι να φτάσουν στο τραπέζι μας τόσο πιο υγιεινές είναι για το σώμα μας. Πιστεύω ότι η χρήση θαλασσινού μη ραφιναρισμένου αλατιού σε συνδιασμό με εμπλουτισμένο αλάτι στη διατροφή μας, αντί για το κοινό εμπορικό αλάτι, μπορεί να μας φέρει σε νέα πολύ υψηλότερα επίπεδα υγείας με έναν εύκολο και οικονομικό τρόπο.
Στην Υγειάς Σας!
Πηγές:
New York Times
NEJM salt reduction
Hypertension AHA
Progress in Cardiology Diseases